Work Log (Weekly Update)
Material toward discussion ( added by Atsuo Orita )
- About Screen Printing Challenge Updated 22th April ( with Schedule )
- My investigation in HondaR&D, and basics of Film Coater Device (Attach:FilmCoater0422.pdf)
- 1-Cell Test Procedure
<April 7 ~ April 10>
Purchase
- Purchase(Attach:Purchase_5.pdf).
Test
- Material tests for making better supporting frame
- Test samples include:
- 1) Easy-to-Machine Impact-Resistant ABS
- 2) Wear-Resistant Nylon
- 3) Wear- and Water-Resistant DelrinŽ Acetal Resin
- 4) Polycarbonate sheet (link for these materials)
- Test include: 1) Bonding strength with stretched acrylic film without glue. 2) Insulativity. 3) Rigidity: thin but strong enough to hold stretched acrylic film without warping.
- Winner: Easy-to-Machine Impact-Resistant ABS
- Bonding super well with stretched acrylic film without any glue which can get rid of the messy and time-consuming superglue procedure.
- 0.01'' thickness is strong enough to hold the stretched film (with only one side covered).
- Doesn't cause electric shorting after being laser cut (compared with fiberglass).
- Easy to machine and very cheap (11"x1 feet for $1.54 ).
- Test samples include:
Fabrication Updates
- New design of multiple-layer fabrication method Attach: Photo_Supporting_and_Holding_Frames.png. (To be tested in next week.)
- Prevent stretch film curling on frame edge which increases the thickness of the EAP.
- Accommodate the electric connection without increasing the overall thickness.
- Fabricate neatly and quickly without any glue.
- Automatic Film Applicator and the Doctor Blade
- Problems that need to be addressed before purchasing this device:
- If the doctor blade doesn't touch the film when coating, than the thickness of the electrode layer has to be the same as the electrode masking.
- If the doctor blade touch the film when coating, can the stickness and fragility of stretched acrylic film allow?
- Challenges: 1) Stretch film need to be hold without frame (solved by electrocut or PTFE film). 2) Composition of stretched film and electrode masking need to be perfectly flat.
- Without the electrode masking, it is a good method. So for the strip coating (planar EAP) for rotary design this device might be very helpful.
- Problems that need to be addressed before purchasing this device:
<April 11 ~ April 17>
Fabrication Updates
- Fabrication of new 1 and 3-layer EAPs: Attach: Photo_New EAP.png
- All the intended advantages realized: 1) Made without using any glue; 2) electrical connection is stable and doesn't increase the overall thickness; 3) no curling of film on edge.
- Methods:
- Extended the electrode line for connection outside the supporting frame: Attach: Photo_Extended_Electrode_line.png.
- Attach conductive tape to the constrain frame: Attach: Photo_Constrain_Frame_with_Electrical_Connection.png. The constrain frame is used for achieving Advantage 2 and 3.
- Attach the constrain frame onto the stretched film, press the outer frame to bond it with the acrylic film and cut out all of them: Attach: Photo_Constrain_Frame_on_Film.png.
- Pile them up first, press the middle part (to be the supporting frame) and them cut off the outer frame: Attach: Photo_Pressing_before_Cutting_Outer_Frame.png.
- Findings:
- Frame need to be pressed to bond well will the acrylic film. Since it is tacky, using finger will peel the acrylic film and affect the bonding. Consider using silicone glove.
- 3-layer EAP was torn because of the rough edge of frame.
- Improvement of current method
- Make the inner diameter of supporting frame slightly larger than the electrode outer diameter so as to prevent squeezing the edge which can cause strain concentration when actuated.
- Optimize the constrain frame.
- Design a isolation frame for reducing the number supporting frame to two for multiple layer EAP.
Experiments
- Weight (including electrical connection, the weight of which can be reduced): 2.5g for single layer EAP and 6g for 3-layer EAP.
- Thickness
- single layer: 0.75mm (overall) 0.13mm (EAP film)
- 3-layer: 1.41mm (overall) 0.42mm (EAP film)
- Actuating test of single layer EAP (0-8kV).
- Stiffness and hysteresis: Attach: Plot_Actuated_1layer.png.
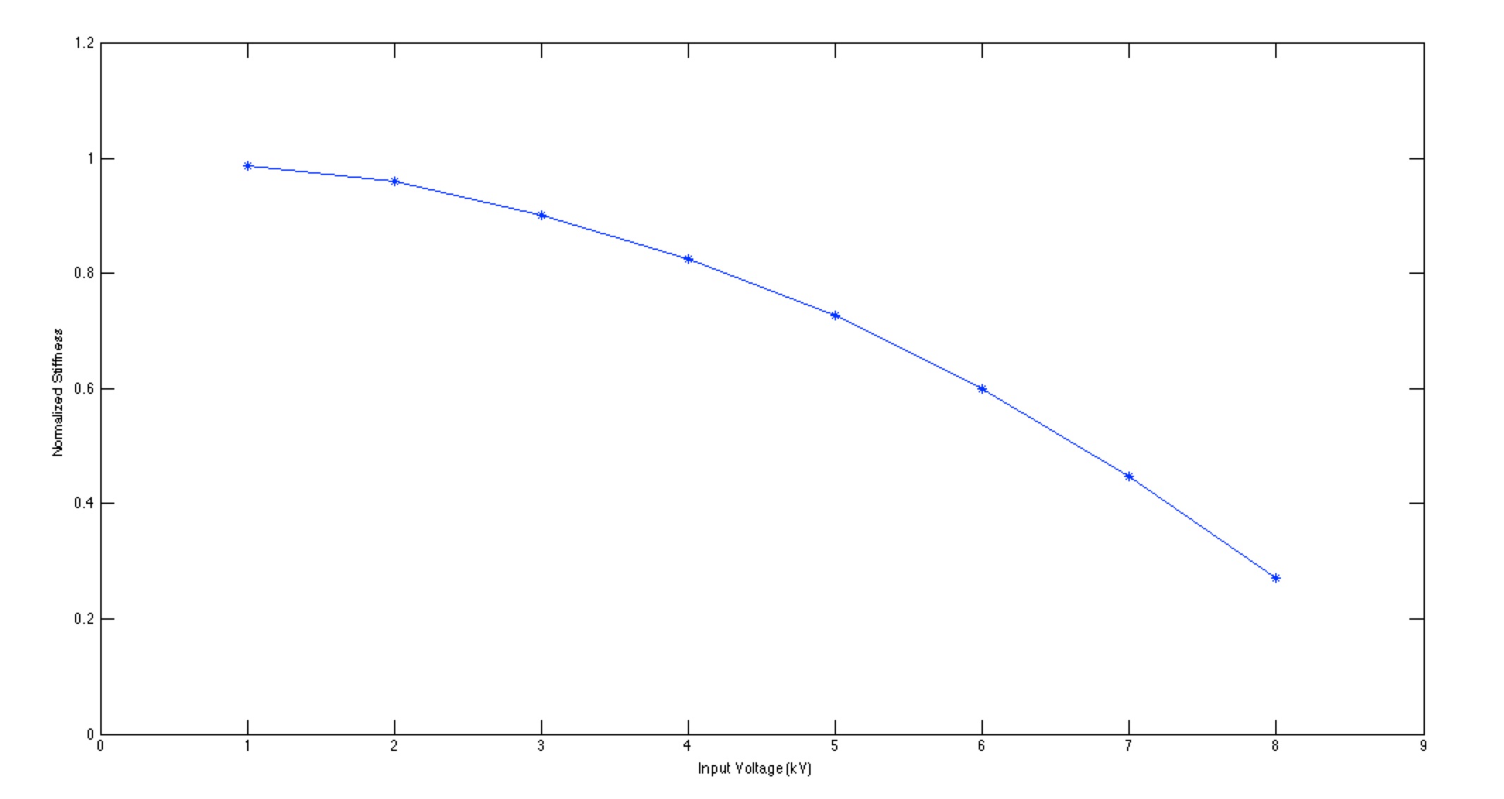
- Normalized stiffness with different voltages: Attach: Normalized_Stiffness.png.
- Non-actuated EAP stiffness: 54N/m.
- The stiffness range can be increased by using 400% stretched film.
<April 18 ~ April 25>
Detailed Design Updates
- Improved the design: Attach: Photo_Fram_Design_April21.png
- Tried different materials and laser-cut setting and finally get a frame that has smooth edge and can bond super well (impossible to separate by hand) with acrylic film: Easy-to-Machine Impact-Resistant ABS, the laser-cut setting is saved in the TLTL computer.
- Other materials that have been tried include: 1) 0.010 acetal sheet 2) 0.005 acetal film 3) 0.010'' Wear-Resistant Nylon
- Improved the electrical connection design as shown in the photo.
- Expanded the inner diameter of the frame because: 1) Most tearing started from the edge when actuated where the acrylic film with coating was squeezed by the edge of the frame and caused much larger maxwell pressure. 2) The acrylic film near the edge contributes less to the overall stiffness.
- Tried different materials and laser-cut setting and finally get a frame that has smooth edge and can bond super well (impossible to separate by hand) with acrylic film: Easy-to-Machine Impact-Resistant ABS, the laser-cut setting is saved in the TLTL computer.
Fabrication
- Made 8 400%-stretched EAPs and have intensive tests on them according to Mr. Orita-san's requirement. Don't have time to process them into the Excel sheet. Will do it in next week and provide some basic results here.
- Observe super wrinkle under 7kV! Video1 & Video2
- Except two of the EAPs were broken because of tools and sharp edge on the experiment platform (I am sorry for that...), all the EAPs with improved design survived after intensive tests. All of them have gone through the super wrinkle test (actuated for more than 10 times with 7kV voltage) and remained intact!
- Stiffness of the six EAPs with 7mm displacement (detailed data about different displacements and voltages will be provided next week): Attach: Photo_Stiffness_Different_EAPs.png
- Standard deviation (std): 0.8811 for 0V, 0.9733 for 4kV and 1.8172 for 6.32kV.
- Problems include:
- The maximum displacement of the muscle lever is ~7 or 8mm.
- Variance caused by factors related to experiment itself (voltage controlled by knob, muscle lever initial position, connection between pin and lever) need to be considered.
- The arc-shaped movement of the muscle lever and the weight of connector and pin under high voltage might contribute to the nonlinearity.
Fabrication Updates
- Found a platen for screen printing and will purchase it along with other things in next week.
<April 26 ~ May 9>
Purchase
Fabrication
- These few weeks are about intensive fabrication, tests and data processing and don't have many things to be posted.
Test
- 6 single layer tests: Attach: 6_Single_Layer_Test_Result.xls
- Due to materials running out and out of stock in the store, another 4 layers fabrication and tests was delayed. Try to finish them before Mr. Orita-san arrives here (4 single layer test result & 2,3,5,8-layer test result).
Testing Apparatus Updates
- Force-displacement test device candidates:
- Muscle Lever: 310C is something that they make for special order. The leadtime is 12-16 weeks.
- 310C 50N 40mm-excursion: $21009+400
- 310C-LR 100N 40mm-excursion: $22183+450
- IMADA 100N motorized tester with distance meter (This company started in Japan, but also had one in US now)
- With all the components needed: $5945 (Component details and quote: Attach:IMAMA_quote.pdf).
- Accuracy: 0.1mm; 0.1N Range: doesn't mention the displacement, but quite large; 100N; speed: 0.4-11.8in/min (very slow)
- Has cycle mode and fatigue test.
- In stock, immediately ship.
- TRICOR 921B Displacement Force Test Station, still waiting for the quote.
- COMTEN: $10000+ Attach:COMTEN_quote.pdf).
- Muscle Lever: 310C is something that they make for special order. The leadtime is 12-16 weeks.
<May 10 ~ May 16>
Test
- 10 single layer tests finished : Attach: 10_Single_Layer_Test_Result.xls (including plots)
- 1 in 10 cell broke under 6.25V with 7mm displacement after 30 seconds continuously moving: Attach: EAP_failure.png
- The failure is in the middle of the film rather than at the frame edge. Actually most of the failure occurred in other tests are also not at the edge, which shows that the clearance between the electrode edge and the frame can effectively reduce the failure caused by this factor.
- small wrinkle around the center occurred under 6.25V.
- Stiffness range: around 20% (minimum/maximum) under 6.25V.
- Multiple-layer EAPs test: [Updated(see below)] (including plots)
- Test 3 cells of 2-layer EAPs, 1 cell of 3-layer, 4-layer and 5-layer EAP with displacement from 1 to 5mm and voltage up to 6.25V.
- Two failure occurred on 2-layer EAPs. One was due to charging only one layer of the EAP without noticing and still applying too much displacement and actuating voltage. The other one was probably due to the electrode of one layer was squeezed by the other layer's inner frame under high displacement (without carefully alignment, two layers are not concentric).
- Wrinkles were observed in all the multiple-layer EAPs under 6.25V.
- Around 20% stiffness range can be achieved. The linearity of multiple-layer EAP seems to be better than single-layer especially when high voltage is applied. It is probably because the layer inside the EAP doesn't wrinkle too much due to adjacent layers and is stabler?
<May 20 ~ May 31>
Test
- Summary of Analyzing Data of Multiple-Layer
- Linearity Graph added Attach: Multiple_Layer_Test_Result_Edited.xls
- According to the number of layer, overall linearity in each test is decrease a little gradually.To get a little precise assumption, additional multi-layer tests are needed, and will be done by next Tuesday.
- In fabricating 12 cells, 2 failure in cutting cells off, 3 failure in removing outer frame.It is because insufficient pressing frame on EAP. Now we don't use glue,so it is important.
- Updated Data of multi-layerd(3,5,6,7) on 27thMay
- During test 2 failure happened in charged and longer displacement.(3layerd and 7layerd)
- Summarized data is listed in the last sheet of this file
- Comparing hysteresis in multi-layerd according to current EAP cell.This is good because no significant difference is happened.Attach:Multiple_Layer_Test_in29thMay2013.xls
- Mechanical durability of current EAP cell is
- 0kV ---- More than 10420 times/4Hz-4mm displacement
- 6kV ---- Broken in 2880 times/4Hz-4mm displacement
- Linearity Graph added Attach: Multiple_Layer_Test_Result_Edited.xls
Material Updates
- Conductive Tape for EAP(Thickness 35um)
- Tape in detail
- Material:Aclylic Film
- Hazardous:None
- PRTR Low : Nickel CAS No.7440-02-0
- Preliminary check it on non pre-stretched VHBAttach: ConductiveTape.png
- As this tape can be stretched upto 150%,it can keep attached with EAP in high stretched.
- Lazer Cut and making EAP cellAttach: ConductiveEAP1.pngAttach: ConductiveEAP2.png
- Performance Test of Conductive EAP cell
- This cell could not be charged, and if we charge upto 10kV,we could not see the much movement of EAP. That seems to be caused by the unilateral conductivity.(should be asked)
- Tape in detail
Fabrication Updates
- Screen Printing
- Screen Device
- Shape : 320mm x 320mm
- Number of mesh in inch : 200-400
- Diameter of mesh : 30um
- Material : Steinless with emulsion masking
- Printing Options
- Direct printing on EAP
- This is easy way to print, but we should be careful for sticky film, and consider how to get good coating on pre-stretched film.
- Using Mold releasing film( several type of films exist. )
- Compare to direct option, this process is a little complex, so finding good film that can be release the electrode onto EAP without damaging surface.
- Direct printing on EAP
- As printing on pre-stretched film with guide seems to me more difficult,I did Option2 first.
- Mold releasing film EAP(TORAY Coorporation)
- Initial printing test with carbon powdar Attach:ReleasingScreenPrintingInit.png
- I use Ecoflex rather than DragonSkin due to longer curing time.However it is too soft in first 1 hour, and brittle.
- With enough carbon power in the ink, I tried screen printing again on the MRF.It is thicker than testing in Japan, however coating is good.Attach:ReleasingScreenPrintingSecond.png
- Ecoflex has taken a long time to be cured. I lost 2 EAP due to earlier releasingAttach:RelasingFailue.png. As extra ink is also not cured and remains soft, it seems that Ecoflex is too slow to be cured. Please wait a day to finish fabricate. Next I use DragonSkin rather than Ecoflex. And in 10 times printing, screen is needed to be polished the surface. So a little toluene makes printing easier. Regarding ink, volume ratio of carbon is large, so I think current electrode has very high conductivity.
- After heating with sun, I can get better releasing electrode EAP, but for mistaking in fabrication,we can not measure the stiffness. Attach:BetterReleasing.jpeg
- In spite Bad releasing Mold made very uneven surface, we can test another EAP with screen printing.This is the stiffness data. Attach:stiffness_data.png And we got the movie of 7kV. Attach:7kVmovie.MOV
- Screen Device
Page last modified on June 07, 2013, at 09:57 am

